Riforma 4+2: rettifica del MIM. L’elenco aggiornato delle scuole autorizzate
A partire dall’anno scolastico 2025/2026, le scuole avranno la possibilità di attivare nuovi percorsi quadriennali nell’ambito della formazione tecnica e professionale e da oggi, giorno di apertura delle iscrizioni al prossimo anno scolastico, genitori e studenti troveranno sulla piattaforma Unica del MIM anche le scuole del 4+2 con i relativi percorsi. Questa novità è contenuta nel decreto ministeriale che disciplina la sperimentazione di percorsi di istruzione che si collegano alla filiera tecnologico-professionale, con l’obiettivo di rispondere alle esigenze di un mondo del lavoro in continua evoluzione e alle necessità di una programmazione educativa più flessibile e adattabile. Questi nuovi percorsi permetteranno agli studenti di concludere il ciclo di studi un anno prima rispetto ai tradizionali percorsi quinquennali, offrendo una preparazione più focalizzata e una maggiore possibilità di inserimento precoce nel mondo del lavoro. “Un successo al di là di ogni previsione”, dichiara il Ministro dell’Istruzione e del Merito, Giuseppe Valditara, “con un aumento dei percorsi del 210% rispetto allo scorso anno. Le scuole autorizzate passano da 180 a 396, +120%: circa un quarto degli istituti tecnico-professionali insomma ha finora aderito alla riforma”. I percorsi salgono da 225 a 628. Ora arriva la parziale rettifica dell’allegato al decreto del Capo Dipartimento per il sistema educativo di istruzione e di formazione del 20 gennaio 2025, n.111 riguardo l’autorizzazione delle istituzioni scolastiche per l’attivazione dei percorsi di istruzione secondaria di secondo grado della filiera formativa integrata tecnologico-professionale.
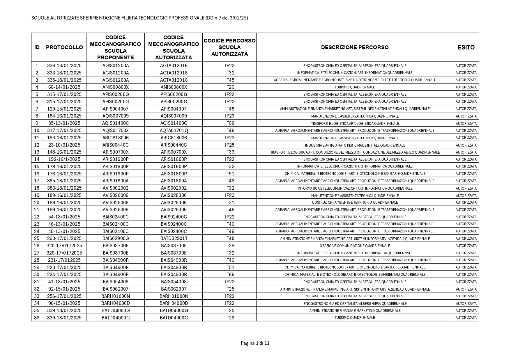
Di seguito l’elenco delle scuole autorizzate (clicca sulle immagini per ingrandire):
“Particolarmente positivo è l’interesse mostrato dal Mezzogiorno, sintomo di una forte volontà di modernizzazione e di sviluppo, in linea con gli ultimi dati su diminuzione della dispersione, diminuzione del divario Nord/Sud, crescita economica”, ha commentato Valditara. “In realtà – ha spiegato il ministro – è tutta la scuola italiana che sta cambiando in profondità, a partire proprio dalla scuola tecnico-professionale, che grazie alle innovazioni del 4+2 potrà offrire più opportunità formative ai nostri giovani, diventando volano di crescita per le nostre imprese”.
Flessibilità e personalizzazione del curriculum
Uno degli aspetti innovativi della sperimentazione riguarda la possibilità per le scuole di adattare il proprio curriculum mediante l’uso della flessibilità didattica e organizzativa. Questo consentirà di personalizzare l’offerta formativa in base alle esigenze degli studenti e alle richieste del territorio, favorendo una maggiore inclusività e l’allineamento con la programmazione regionale dell’offerta formativa. Gli indirizzi di studio rimarranno quelli già previsti dagli ordinamenti scolastici, ma con la possibilità di strutturare il percorso in modo più dinamico e rispondente alle specifiche realtà locali.
Requisiti per le scuole paritarie
Le scuole paritarie che intendono aderire a questa sperimentazione dovranno inviare una richiesta di riconoscimento della parità scolastica all’Ufficio Scolastico Regionale competente entro il 31 marzo 2025. In questo modo, anche le scuole private potranno partecipare alla sperimentazione e offrire ai propri studenti l’opportunità di seguire questi percorsi innovativi.
Comunicazione obbligatoria per le scuole
In base alle disposizioni contenute nell’Avviso pubblico del 3 gennaio 2025, le scuole che attiveranno i percorsi quadriennali dovranno comunicare l’avvio della sperimentazione all’Ufficio competente, indicando anche il numero di studenti iscritti. Questa comunicazione dovrà essere inviata via PEC (posta elettronica certificata) alla Direzione Generale per l’Istruzione Tecnica e Professionale.
Senza impatti sui costi
Una delle precisazioni importanti contenute nel decreto riguarda il fatto che l’attivazione di questi percorsi non comporterà nuovi oneri per la finanza pubblica né modifiche nelle dotazioni organiche del personale scolastico. In altre parole, il progetto mira a ottimizzare l’offerta formativa senza richiedere ulteriori risorse economiche o un incremento nel numero di docenti.
Aprea (FI): “Bene 400 nuove filiere tecnologico- professionali del 4+2, si formeranno alcune decine di migliaia di tecnologi necessari alle transizioni nei settori del Made in Italy”
“Concordiamo con il Ministro Valditara che parla di successo al di là di ogni previsione commentando il lusinghiero risultato delle filiere tecnologico-professionali autorizzate a sperimentare il percorso 4+2.” Così dichiara Valentina Aprea, Responsabile Dipartimento Nazionale Istruzione di Forza Italia che aggiunge: “Con un incremento dei percorsi del 210%, saranno alcune decine di migliaia gli studenti che in tutta Italia potranno scegliere di diventare tecnologi iscrivendosi alle filiere negli Istituti professionali e tecnici a partire dal prossimo anno scolastico. E se è importante che l’incremento dei percorsi ci sia stato nelle scuole del Sud, è ancora più importante considerare che le filiere, costituite da 4 anni di scuola secondaria superiore + 2 anni di specializzazione terziaria professionalizzante negli ITS Academy, riguardano i settori produttivi più rilevanti del Made in Italy, da quello agrario, al chimico, all’informatico, al meccatronico, all’energia, ai trasporti, all’elettronica, fino all’enogastronomia, al turismo, al sistema moda e ai servizi per la sanità. Saranno così maggiormente garantite le transizioni previste dal PNRR in questi settori e soprattutto si potrà colmare man mano il mismatch tra domanda e offerta di lavoro nel nostro Paese con il doppio risultato di favorire sviluppo e crescita dei settori produttivi nazionali e, soprattutto, concorrere ad una occupazione di qualità dei nostri giovani”.
© RIPRODUZIONE RISERVATA











Solo gli utenti registrati possono commentare!
Effettua il Login o Registrati
oppure accedi via